Data sources
🎯 Objective
- Test whether two independently powered concentric HTS coils (2 m + 3 m tape) perform better than a single 5 m coil.
- Investigate if strategic powering (outer → inner → outer) allows operation closer to each coil’s critical current by reducing local magnetic field exposure.
- Evaluate whether this configuration leads to higher achievable field or improved current sharing.
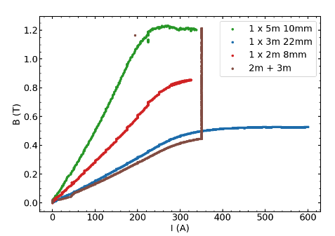
📐 Coil Setup
- Inner coil: 2 m HTS tape, wound on 8 mm mandrel → Mgn_012
- Outer coil: 3 m HTS tape, wound on 22 mm mandrel → Mgn_011
- Total length = 5 m, same as single benchmark coil → Mgn_004, Mgn_005
📊 Results
- Maximum field observed: ~1.2 T, same as single 5 m coil On 10mm mandrel!.
- No significant improvement in field strength or distribution with concentric powering.
- Likely reason: magnetic fields are still too low to benefit from mutual field management.
- At ~1.2 T, HTS tape is still operating in a flat Ic(B) region → field reduction has little impact on critical current.
🏹 Next Steps
- Perhaps try with larger outer coil and inner coil so that we have bigger more impactful magnetic fields.

